regression 7

regression 7

Du er ikke logget ind. Det betyder at dine svar ikke bliver gemt.
Billede

Nu til det lidt sværere.
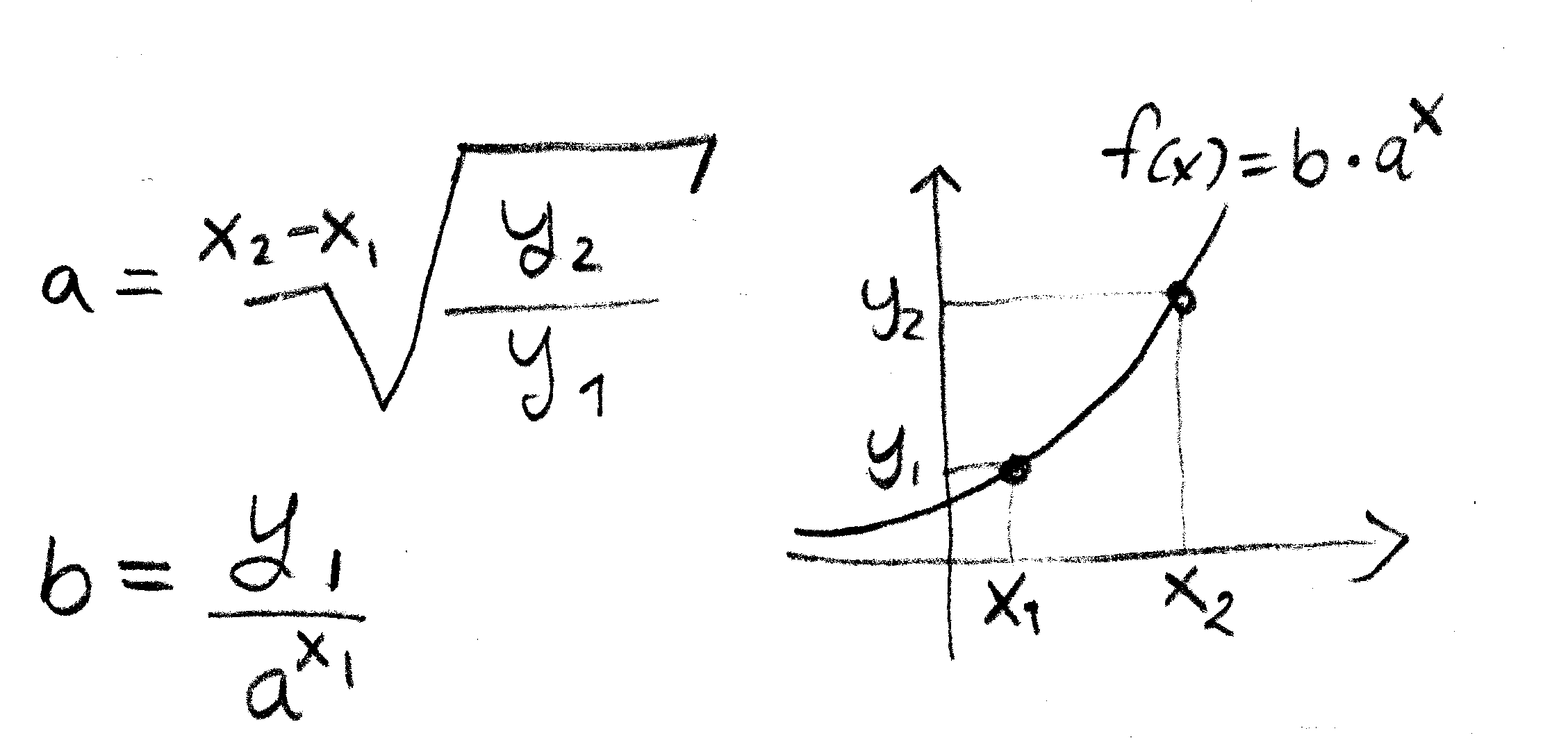
Her kan du se formlerne for at finde a og b for en eksponentiel funktion.
Lad os sige at vi har en eksponentiel funktion f(x)=b ax, og f(1)=10 og f(4)=22.
Hvad er a?